Mirelle C 24 Comprimidos Anticoncepcional

Por: Redação

Bulas de Remédios - Medicamento sem imagem.

Para que serve

Mirelle é indicado para prevenir a gravidez.

Como o Mirelle funciona?

Mirelle é um contraceptivo oral combinado. Cada comprimido revestido contém uma combinação de dois hormônios femininos, o gestodeno (progestógeno) e o etinilestradiol (estrogênio). Devido às pequenas concentrações de ambos os hormônios, Mirelle é considerado um contraceptivo oral de baixa dose.

Outras características não-relacionadas com a prevenção da gravidez

Os contraceptivos combinados reduzem a duração e a intensidade do sangramento menstrual, diminuindo o risco de anemia por deficiência de ferro. A cólica menstrual também pode se tornar menos intensa ou desaparecer completamente.

Além disso, tem-se relatado que alguns distúrbios ocorrem menos frequentemente em usuárias de contraceptivos contendo 0,05 mg de etinilestradiol (“pílula de alta dose”), tais como: doença benigna da mama, cistos ovarianos, infecções pélvicas (doença inflamatória pélvica ou DIP), gravidez ectópica (quando o feto se fixa fora do útero) e câncer do endométrio (tecido de revestimento interno do útero) e dos ovários. Este também pode ser o caso para os contraceptivos de baixa dose, mas até agora somente foi confirmada a redução da ocorrência de casos de câncer ovariano e de endométrio.

Contraindicação

Não use contraceptivo combinado se você tem qualquer uma das condições descritas a seguir:

  • História atual ou anterior de coágulo em uma veia da perna (trombose), do pulmão (embolia pulmonar) ou outras partes do corpo;
  • História atual ou anterior de ataque cardíaco ou derrame cerebral, que é causado por um coágulo (de sangue) ou o rompimento de um vaso sanguíneo no cérebro;
  • História atual ou anterior de doenças que podem ser sinal indicativo de ataque cardíaco (como angina pectoris que pode causar uma dor intensa no peito, podendo se irradiar para o braço esquerdo) ou de um derrame (como um episódio isquêmico transitório ou um pequeno derrame sem efeitos residuais);
  • Presença de um alto risco para formação de coágulos arteriais ou venosos;
  • História atual ou anterior de um certo tipo de enxaqueca acompanhada, por sintomas neurológicos focais tais como: sintomas visuais, dificuldades para falar, fraqueza ou adormecimento em qualquer parte do corpo;
  • Diabetes mellitus com lesão de vasos sanguíneos;
  • História atual ou anterior de doença do fígado (cujos sintomas podem ser amarelamento da pele ou coceira do corpo todo) e enquanto seu fígado ainda não voltou a funcionar normalmente;
  • História atual ou anterior de câncer que pode se desenvolver sob a influência de hormônios sexuais (p. ex., câncer de mama ou dos órgãos genitais);
  • Presença ou antecedente de tumor no fígado (benigno ou maligno);
  • Presença de sangramento vaginal sem explicação;
  • Ocorrência ou suspeita de gravidez;
  • Hipersensibilidade (alergia) a qualquer um dos componentes de Mirelle, o que pode causar, por exemplo, coceira, erupção cutânea ou inchaço.

Se qualquer um destes casos ocorrer pela primeira vez enquanto estiver tomando contraceptivo oral, descontinue o uso imediatamente e consulte seu médico. Neste período, outras medidas contraceptivas não-hormonais devem ser empregadas.

Como usar

Quando usado corretamente, o índice de falha é de aproximadamente 1% ao ano (uma gestação a cada 100 mulheres por ano de uso). O índice de falha pode aumentar quando há esquecimento de tomada dos comprimidos ou quando estes são tomados incorretamente, ou ainda em casos de vômitos dentro de 3 a 4 horas após a ingestão de um comprimido ou diarreia intensa, bem como interações medicamentosas.

Siga rigorosamente o procedimento indicado, pois o não-cumprimento pode ocasionar falhas na obtenção dos resultados.

A cartela de Mirelle contém 24 comprimidos revestidos, dispostos em sequência numérica. Comece pelo comprimido de número 1, que está abaixo da palavra “Início”, e continue ingerindo um comprimido diariamente, seguindo a direção das setas até a ingestão do último comprimido (24).

No verso da cartela há um quadro com os dias da semana (como na figura abaixo). Fure o dia da semana correspondente ao dia em que foi tomado o primeiro comprimido. Este também será o dia da semana para o início das demais cartelas, assim como o dia da tomada dos comprimidos de números 8, 15 e 22. Este procedimento auxiliará a verificar se os comprimidos estão sendo tomados na sequência e dias corretos da semana.

Tome um comprimido por dia, aproximadamente à mesma hora, com auxílio de um pouco de líquido, se necessário. Siga a direção das flechas, até que tenha tomado todos os 24 comprimidos. Terminados os comprimidos da cartela, realize uma pausa de 4 dias. Nesse período, cerca de 2 a 3 dias após a ingestão do último comprimido de Mirelle, deve ocorrer sangramento semelhante ao menstrual (sangramento por privação hormonal). Inicie uma nova cartela no quinto dia, independentemente de ter cessado ou não o sangramento. Isso significa que, em cada mês, estará sempre iniciando uma nova cartela no mesmo dia da semana que a cartela anterior, e que ocorrerá o sangramento por privação mais ou menos nos mesmos dias da semana.

Quando nenhum outro contraceptivo hormonal foi utilizado no mês anterior

Inicie o uso de Mirelle no primeiro dia de menstruação, isto é, no primeiro dia de sangramento. Siga, então, a ordem dos dias. A ação contraceptiva de Mirelle inicia-se imediatamente. Não é necessário utilizar adicionalmente outro método contraceptivo.

Mudando de outro contraceptivo oral combinado, anel vaginal ou adesivo transdérmico (contraceptivo) para Mirelle

Inicie a tomada de Mirelle após o término da cartela do contraceptivo que estava tomando. Isso significa que não haverá pausa entre as cartelas. Se o contraceptivo que estava tomando apresenta comprimidos inativos, ou seja, sem princípio ativo, inicie a tomada de Mirelle após a ingestão do último comprimido ativo do contraceptivo. Caso não saiba diferenciar os comprimidos ativos dos inativos, consulte seu médico.

O uso de Mirelle também poderá ser iniciado mais tarde, no máximo até o dia seguinte após o intervalo de pausa do contraceptivo que estava sendo utilizado ou no dia seguinte após ter tomado o último comprimido inativo do contraceptivo anterior. Se você estiver mudando de anel vaginal ou adesivo transdérmico, deve começar preferencialmente no dia da retirada do último anel ou adesivo do ciclo ou, no máximo, no dia previsto para a próxima aplicação. Se seguir essas instruções, não será necessário utilizar adicionalmente um outro método contraceptivo.

Mudando da minipílula para Mirelle

Nesse caso, deve-se descontinuar o uso da minipílula e iniciar a tomada de Mirelle? no dia seguinte, no mesmo horário. Adicionalmente, utilize um método contraceptivo de barreira (por exemplo, preservativo) caso tenha relação sexual nos 7 primeiros dias de uso de Mirelle.

Mudando de contraceptivo injetável, implante ou Sistema Intrauterino (SIU) com liberação de progestógeno para Mirelle

Inicie o uso de Mirelle na data prevista para a próxima injeção ou no dia de extração do implante ou do SIU. Adicionalmente, utilize um método contraceptivo de barreira (por exemplo, preservativo) caso tenha relação sexual nos 7 primeiros dias de uso de Mirelle.

Mirelle e o pós-parto

No pós-parto, seu médico poderá aconselhá-la a esperar por um ciclo menstrual normal antes de iniciar o uso de Mirelle. Às vezes, o uso de Mirelle pode ser antecipado com o consentimento do médico. Se após o parto você teve relação sexual antes de iniciar o uso de Mirelle, você precisa ter certeza de que não está grávida ou esperar até o próximo período menstrual. Se estiver amamentando, discuta primeiramente com seu médico.

Mirelle e o pós-aborto

Consulte seu médico.

Informações essenciais

O que devo fazer em caso de distúrbios gastrintestinais, como vômitos ou diarreia intensa?

Se ocorrerem vômitos ou diarreia intensa, as substâncias ativas do comprimido podem não ter sido absorvidas completamente. Se ocorrerem vômitos no período de 3 a 4 horas após a ingestão do comprimido, é como se tivesse se esquecido de tomá-lo. Portanto, deve-se seguir o mesmo procedimento indicado no item “O que devo fazer quando eu me esquecer de usar este medicamento?”. Consulte seu médico em quadros de diarreia.

O que devo fazer em caso de sangramento inesperado?

Como ocorre com todos os contraceptivos orais, pode surgir, durante os primeiros meses de uso, sangramento intermenstrual (gotejamento ou sangramento de escape), isto é, sangramento fora da época esperada, podendo ser necessário o uso de absorventes higiênicos. Deve-se continuar a tomar os comprimidos, pois, em geral, o sangramento intermenstrual cessa espontaneamente, uma vez que seu organismo tenha se adaptado ao contraceptivo oral (geralmente, após 3 meses de tomada dos comprimidos). Caso o sangramento não cesse, torne-se mais intenso ou reinicie, consulte o seu médico.

O que fazer se não ocorrer sangramento?

Se todos os comprimidos foram tomados sempre no mesmo horário, não houve vômito, diarreia intensa ou uso concomitante de outros medicamentos, é pouco provável que você esteja grávida. Continue tomando Mirelle normalmente.

Caso não ocorra sangramento por dois meses seguidos, você pode estar grávida. Consulte o seu médico imediatamente. Não inicie nova cartela de Mirelle até que a suspeita de gravidez seja afastada pelo seu médico. Neste período use medidas contraceptivas não hormonais.

Quando posso descontinuar o uso de Mirelle?

O uso de Mirelle pode ser descontinuado a qualquer momento. Porém, não o faça sem o conhecimento do seu médico.

Se você não deseja engravidar após descontinuar o uso de Mirelle, consulte o seu médico para que ele lhe indique outro método contraceptivo.

Se você desejar engravidar, é recomendável que espere por um ciclo menstrual natural. Converse com o seu médico.

Siga a orientação de seu médico, respeitando sempre os horários, as doses e a duração do tratamento.

Não interrompa o tratamento sem o conhecimento do seu médico.

Este medicamento não deve ser partido, aberto ou mastigado.


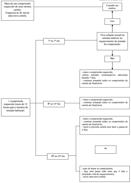
O que eu devo fazer quando esquecer de usar este medicamento?

Se houver um atraso de menos de 12 horas do horário habitual, a proteção contraceptiva de Mirelle é mantida. Tome o comprimido esquecido assim que se lembrar e tome o próximo comprimido no horário habitual.

Se houver um atraso de mais de 12 horas do horário habitual, a proteção contraceptiva de Mirelle pode ficar reduzida, especialmente se ocorrer o esquecimento da tomada no começo ou no final da cartela. Veja abaixo como proceder em cada caso específico.

Esquecimento de 1 comprimido entre 1° e 7° dia

Tome o comprimido esquecido assim que se lembrar (inclui-se a possibilidade de tomar dois comprimidos de uma só vez) e continue a tomar os próximos comprimidos no horário habitual. Utilize método contraceptivo adicional (método de barreira – por exemplo, preservativo) durante os próximos 7 dias. Se teve relação sexual na semana anterior ao esquecimento da tomada do comprimido, há possibilidade de engravidar. Comunique o fato imediatamente ao seu médico.

Esquecimento de 1 comprimido entre 8° e 14° dia

Tome o comprimido esquecido assim que se lembrar (inclui-se a possibilidade de tomar dois comprimidos de uma só vez) e continue a tomar os próximos comprimidos no horário habitual. A proteção contraceptiva de Mirelle está mantida. Não é necessário utilizar método contraceptivo adicional.

Esquecimento de 1 comprimido entre 15° e 24° dia

Escolha uma das duas opções abaixo, sem a necessidade de utilizar método contraceptivo adicional:

  1. Tome o comprimido esquecido assim que se lembrar (inclui-se a possibilidade de tomar dois comprimidos de uma só vez) e continue a tomar os próximos comprimidos no horário habitual. Inicie a nova cartela assim que terminar a atual, sem que haja pausa entre uma cartela e outra. É possível que o sangramento ocorra somente após o término da segunda cartela. No entanto, pode ocorrer sangramento do tipo gotejamento ou de escape enquanto estiver tomando os comprimidos.
  2. Deixe de tomar os comprimidos da cartela atual, faça uma pausa de 4 dias, ou menos, contando inclusive o dia no qual esqueceu de tomar o comprimido e inicie uma nova cartela.

Mais de 1 comprimido esquecido

Se mais de um comprimido de uma mesma cartela for esquecido, consulte seu médico. Quanto mais comprimidos sequenciais forem esquecidos, menor será o efeito contraceptivo.

Se não ocorrer sangramento por privação hormonal (semelhante à menstruação) no intervalo de pausa de 4 dias, pode ser que esteja grávida. Consulte seu médico antes de iniciar uma nova cartela.

Em caso de dúvidas, procure orientação do farmacêutico ou de seu médico ou cirurgião-dentista.

Precauções

Neste informativo, estão descritas várias situações em que o uso do contraceptivo oral deve ser descontinuado ou em que pode haver diminuição da sua eficácia. Nestas situações, deve-se evitar a relação sexual ou, então, utilizar adicionalmente métodos contraceptivos não-hormonais como, por exemplo, preservativo ou outro método de barreira. Não utilize os métodos da tabelinha (do ritmo ou Ogino-Knaus) ou da temperatura. Esses métodos podem falhar, pois os contraceptivos hormonais modificam as variações de temperatura e do muco cervical que ocorrem durante o ciclo menstrual normal.

Mirelle, como todos os demais contraceptivos orais, não protege contra infecções causadas pelo HIV (AIDS), nem contra qualquer outra doença sexualmente transmissível.

É recomendável consultar o médico regularmente para que ele possa realizar os exames clínico geral e ginecológico de rotina e confirmar se o uso de Mirelle pode ser continuado.

O uso de contraceptivo combinado requer cuidadosa supervisão médica na presença das condições descritas abaixo. Essas condições devem ser comunicadas ao médico antes do início do uso de Mirelle:

  • Fumo;
  • Diabetes;
  • Excesso de peso;
  • Pressão alta;
  • Alteração na válvula cardíaca ou alteração do batimento cardíaco;
  • Inflamação das veias (flebite superficial);
  • Veias varicosas;
  • Qualquer familiar direto que já teve um coágulo (trombose nas pernas, pulmões (embolia pulmonar) ou qualquer outra parte do corpo), ataque cardíaco ou derrame em idade jovem;
  • Enxaqueca;
  • Epilepsia;
  • Você ou algum familiar direto tem, ou já apresentou, níveis altos de colesterol ou triglicérides (um tipo de gordura) no sangue;
  • Algum familiar direto que tem ou já teve câncer de mama;
  • Se você tem doença do fígado ou da vesícula biliar; doença de Crohn ou colite ulcerativa (doença inflamatória crônica do intestino);
  • Lúpus eritematoso sistêmico (doença do sistema imunológico);
  • Aíndrome hemolíticourêmica (alteração da coagulação sanguínea que causa insuficiência renal);
  • Anemia falciforme;
  • Condição que tenha ocorrido pela primeira vez, ou piorado, durante a gravidez ou uso prévio de hormônios sexuais como, por exemplo, perda de audição, porfiria (doença metabólica), herpes gestacional (doença de pele) ou coreia de Sydenham (doença neurológica);
  • Tem, ou já apresentou, cloasma (pigmentação marrom-amarelada da pele, especialmente a do rosto). Nesse caso, evite a exposição excessiva ao sol ou à radiação ultravioleta;
  • Angioedema hereditário (estrogênios exógenos podem induzir ou intensificar os seus sintomas). Consulte seu médico imediatamente se você apresentar sintomas de angioedema, tais como: inchaço do rosto, língua e/ou garganta, dificuldade para engolir ou urticária junto com dificuldade para respirar.

Se algum destes casos ocorrer pela primeira vez, reaparecer ou agravar-se enquanto estiver tomando contraceptivo, consulte seu médico.

Contraceptivos e a trombose

A trombose é a formação de um coágulo sanguíneo que pode interromper a passagem do sangue nos vasos. Algumas vezes, a trombose ocorre nas veias profundas das pernas (trombose venosa profunda). O tromboembolismo venoso (TEV) pode se desenvolver se você estiver tomando ou não pílula. Ele também pode ocorrer se você estiver grávida. Se o coágulo desprender-se das veias onde foi formado, ele pode se deslocar para as artérias pulmonares, causando a embolia pulmonar. Os coágulos sanguíneos também podem ocorrer muito raramente nos vasos sanguíneos do coração (causando o ataque cardíaco). Os coágulos ou a ruptura de um vaso no cérebro podem causar o derrame.

Estudos de longa duração sugerem que pode existir uma ligação entre o uso de pílula (também chamada de contraceptivo oral combinado ou pílula combinada, pois contém dois diferentes tipos de hormônios femininos chamados estrogênios e progestógenos) e um risco aumentado de coágulos arteriais e venosos, embolia, ataque cardíaco ou derrame. A ocorrência destes eventos é rara.

O risco de ocorrência de tromboembolismo venoso é mais elevado durante o primeiro ano de uso. Este aumento no risco está presente em usuárias de primeira vez de contraceptivo combinado e em usuárias que estão voltando a utilizar o mesmo contraceptivo combinado utilizado anteriormente ou outro contraceptivo combinado (após 4 semanas ou mais sem utilizar pílula). Dados de um grande estudo sugerem que o risco aumentado está principalmente presente nos 3 primeiros meses.

O risco de ocorrência de tromboembolismo venoso em usuárias de pílulas contendo baixa dose de estrogênio (<0,05 mg de etinilestradiol) é duas a três vezes maior que em não usuárias de COCs, que não estejam grávidas e permanece menor do que o risco associado à gravidez e ao parto.

Muito ocasionalmente, eventos tromboembólicos, arteriais ou venosos, podem causar incapacidade grave permanente, podendo provocar risco para a vida da paciente ou podendo inclusive ser fatais.

O tromboembolismo venoso se manifesta como trombose venosa profunda e/ou embolia pulmonar e pode ocorrer durante o uso de qualquer contraceptivo hormonal combinado.

Em casos extremamente raros, os coágulos sanguíneos também podem ocorrer em outras partes do corpo incluindo fígado, intestino, rins, cérebro ou olhos. Se ocorrer qualquer um dos eventos mencionados a seguir, interrompa o uso da pílula e contate seu médico imediatamente se notar sintomas de:

  • Trombose venosa profunda, tais como: inchaço de uma perna ou ao longo de uma veia da perna; dor ou sensibilidade na perna que pode ser sentida apenas quando você estiver em pé ou andando, sensação aumentada de calor na perna afetada; vermelhidão ou descoloramento da pele da perna;
  • Embolia pulmonar, tais como: início súbito de falta inexplicável de ar ou respiração rápida; tosse de início abrupto que pode levar a tosse com sangue; dor aguda no peito que pode aumentar com a respiração profunda, ansiedade; tontura grave ou vertigem; batimento cardíaco rápido ou irregular. Alguns destes sintomas (por exemplo, falta de ar, tosse) não são específicos e podem ser erroneamente interpretados como eventos mais comuns ou menos graves (por exemplo, infecções do trato respiratório);
  • Tromboembolismo arterial (vaso sanguíneo arterial bloqueado por um coágulo que se deslocou);
  • Derrame, tais como: diminuição da sensibilidade ou da força motora afetando, de forma súbita a face, braço ou perna, especialmente em um lado do corpo; confusão súbita, dificuldade para falar ou compreender; dificuldade repentina para enxergar com um ou ambos os olhos; súbita dificuldade para caminhar, tontura, perda de equilíbrio ou de coordenação, dor de cabeça repentina, intensa ou prolongada, sem causa conhecida; perda de consciência ou desmaio, com ou sem convulsão;
  • Coágulos bloqueando outros vasos arteriais, tais como: dor súbita, inchaço e ligeira coloração azulada (cianose) de uma extremidade, abdome agudo;
  • Ataque cardíaco, tais como: dor, desconforto, pressão, peso, sensação de aperto ou estufamento no peito, braço ou abaixo do esterno; desconforto que se irradia para as costas, mandíbula, garganta, braços, estômago; saciedade, indigestão ou sensação de asfixia, sudorese, náuseas, vômitos ou tontura; fraqueza extrema, ansiedade ou falta de ar; batimentos cardíacos rápidos ou irregulares.

Seu médico irá verificar se, por exemplo, você possui um risco maior de desenvolver trombose devido à combinação de fatores de risco ou talvez um único fator de risco muito alto. No caso de uma combinação de fatores de risco, o risco pode ser mais alto que uma simples adição de dois fatores individuais.

O risco de coagulo arterial ou venoso (por exemplo, trombose venosa profunda, embolia pulmonar, ataque cardíaco) ou derrame aumenta:

  • Com a idade;
  • Se você estiver acima do peso;
  • Se qualquer familiar direto seu teve um coágulo (trombose nas pernas, pulmão (embolia pulmonar) ou qualquer outra parte do corpo), ataque cardíaco ou derrame em idade jovem, ou se você ou qualquer familiar tiver ou suspeitar de predisposição hereditária. Neste caso você deve ser encaminhada a um especialista antes de decidir pelo uso de qualquer contraceptivo hormonal combinado. Certos fatores sanguíneos que podem sugerir uma tendência para trombose venosa ou arterial incluem resistência à proteína C ativada, hiper-homocisteinemia, deficiência de antitrombina III, proteína C e proteína S, anticorpos antifosfolipídios (anticorpos anticardiolipina, anticoagulante lúpico);
  • Com imobilização prolongada (por exemplo, durante o uso de gessos ou talas em sua(s) perna(s)), cirurgia de grande porte, qualquer intervenção cirúrgica em membros inferiores ou trauma extenso. Informe seu médico. Nestas situações, é aconselhável descontinuar o uso da pílula (em casos de cirurgia programada você deve descontinuar o uso pelo menos 4 semanas antes) e não reiniciá-lo até, pelo menos, duas semanas após o total restabelecimento;
  • Se você fuma (com consumo elevado de cigarros e aumento da idade, o risco tornase ainda maior, especialmente em mulheres com idade superior a 35 anos). Descontinue o consumo de cigarros durante o uso de pílula, especialmente se tem mais de 35 anos de idade;
  • Se você ou alguém de sua família tem ou teve altos níveis de colesterol ou triglicérides (um tipo de gordura)
  • Se você tem pressão alta. Se você desenvolver pressão alta durante o uso de pílula, seu médico poderá pedir que você descontinue o uso;
  • Se você tem enxaqueca;
  • Se você tem distúrbio da válvula do coração ou certo tipo de distúrbio do ritmo cardíaco.

Imediatamente após o parto, as mulheres têm risco aumentado de formação de coágulos, portanto pergunte ao seu médico quando você poderá iniciar o uso de pílula combinada após o parto.

Contraceptivos e o câncer

O câncer de mama é diagnosticado com frequência um pouco maior entre as usuárias dos contraceptivos orais, mas não se sabe se esse aumento é devido ao uso do contraceptivo. Pode ser que esta diferença esteja associada à maior frequência com que as usuárias de contraceptivos orais consultam seus médicos. O risco de câncer de mama desaparece gradualmente após a descontinuação do uso do contraceptivo hormonal combinado.

É importante examinar as mamas regularmente e contatar o médico se você sentir qualquer caroço nas mamas. Em casos raros, foram observados tumores benignos de fígado e, mais raramente, tumores malignos de fígado nas usuárias de contraceptivos orais. Em casos isolados, estes tumores podem causar hemorragias internas com risco para a vida da paciente. Em caso de dor abdominal intensa, consulte o seu médico imediatamente.

O fator de risco mais importante para o câncer cervical (câncer de colo uterino) é a infecção persistente pelo HPV (papilomavírus humano). Alguns estudos indicaram que o uso prolongado de contraceptivos orais pode contribuir para este risco aumentado, mas continua existindo controvérsia sobre a extensão em que esta ocorrência possa ser atribuída aos efeitos concorrentes, por exemplo, da realização de exame cervical (papanicolaou) e do comportamento sexual, incluindo a utilização de contraceptivos de barreira

Os tumores mencionados acima podem provocar risco para a vida da paciente ou podem ser fatais.

Informe ao seu médico ou cirurgião-dentista se você está fazendo uso de algum outro medicamento.

Também informe que está tomando Mirelle a qualquer outro médico ou dentista que venha a lhe prescrever outro medicamento. Pode ser necessário o uso adicional de um método contraceptivo e, neste caso, seu médico lhe dirá por quanto tempo deverá usá-lo.

Não use medicamento sem o conhecimento do seu médico. Pode ser perigoso para a sua saúde.

Reações Adversas

Reações adversas comuns (entre 1 e 10 em cada 100 usuárias podem ser afetadas):

Náuseas, dor abdominal, aumento de peso corporal, dor de cabeça, depressão ou alterações de humor, dor nas mamas incluindo hipersensibilidade.

Reações adversas incomuns (entre 1 e 10 em cada 1.000 usuárias podem ser afetadas)

Vômitos, diarreia, retenção de líquido, enxaqueca, diminuição do desejo sexual, aumento do tamanho das mamas, erupção cutânea, urticária.

Reações adversas raras (entre 1 e 10 em cada 10.000 usuárias podem ser afetadas)

Intolerância a lentes de contato, reações alérgicas (hipersensibilidade), diminuição de peso corporal, aumento do desejo sexual, secreção vaginal, secreção nas mamas, eritema nodoso ou multiforme (doenças de pele), distúrbios tromboembólicos arteriais e venosos (formação de coágulos).

Contraceptivos e o câncer

  • A frequência de diagnósticos de câncer de mama é ligeiramente maior em usuárias de CO. Como o câncer de mama é raro em mulheres abaixo de 40 anos, o aumento do risco é pequeno em relação ao risco geral de câncer de mama. A causalidade com uso de COC é desconhecida;
  • Tumores no fígado (benigno e maligno).

Outras condições

  • Mulheres com hipertrigliceridemia (aumento de gordura no sangue, resultando em um risco aumentado de pancreatite em usuárias de COCs);
  • hipertensão;
  • Ocorrência ou piora de condições para as quais a associação com o uso de COC não é conclusiva: icterícia (pigmentação amarelada da pele) e/ou prurido relacionado à colestase (fluxo biliar bloqueado); formação de cálculos biliares; uma condição metabólica chamada de porfiria, lúpus eritematoso sistêmico (uma doença crônica autoimune); síndrome hemolítico-urêmica (alteração da coagulação sanguínea); uma condição neurológica chamada Coreia de Sydenham; herpes gestacional (um tipo de condição de pele que ocorre durante a gravidez); perda de audição relacionada à otosclerose;
  • Em mulheres com angioedema hereditário (caracterizado por inchaço repentino, por exemplo, dos olhos, boca, garganta, etc), estrogênios exógenos podem induzir ou intensificar sintomas de angioedema;
  • Sistúrbios das funções do fígado;
  • Alterações na tolerância à glicose ou efeitos sobre a resistência periférica à insulina;
  • Doença de Crohn, colite ulcerativa;
  • Cloasma (pigmentação marrom-amarelada da pele, especialmente a do rosto).

Informe ao seu médico, cirurgião-dentista ou farmacêutico o aparecimento de reações indesejáveis pelo uso do medicamento. Informe também à empresa através do seu serviço de atendimento.

Em especial se essas reações forem graves ou persistentes, ou se houver mudança no seu estado de saúde que possa estar relacionada ao uso de Mirelle.

População Especial

Mirelle, a gravidez e a amamentação

Mirelle não deve ser usado quando há suspeita de gravidez ou durante a gestação. Se suspeitar da possibilidade de estar grávida durante o uso de Mirelle consulte seu médico o mais rápido possível. Entretanto, estudos epidemiológicos abrangentes não revelaram risco aumentado de malformações congênitas em crianças nascidas de mulheres que tenham utilizado COC antes da gestação. Também não foram verificados efeitos teratogênicos decorrentes da ingestão acidental de COCs no início da gestação.

Crianças

Mirelle é indicado apenas para uso após a menarca (primeira menstruação).

Pacientes idosas

Mirelle não é indicado para uso após a menopausa.

Pacientes com insuficiência hepática

Mirelle é contraindicado em mulheres com doença hepática grave.

Pacientes com insuficiência renal

Fale com seu médico. Dados disponíveis não sugerem alteração no tratamento desta população de pacientes.

Composição

Cada comprimido revestido de Mirelle contém:

Gestodeno60mcg
Etinilestradiol15mcg

Excipientes: lactose, celulose microcristalina, estearato de magnésio, polacrilina potássica, opadry amarelo, macrogol e cera montanglicol.

Superdosagem

Não foram observados efeitos nocivos graves após a ingestão de vários comprimidos de Mirelle de uma única vez. Caso isto ocorra, podem aparecer náuseas, vômitos ou sangramento vaginal. Se a ingestão acidental ocorrer com uma criança, consulte o médico.

Interação Medicamentosa

Interações entre etinilestradiol e outras substâncias podem diminuir ou aumentar as concentrações séricas de etinilestradiol.

Concentrações séricas mais baixas de etinilestradiol podem causar maior incidência de sangramento de escape e irregularidades menstruais e, possivelmente, podem reduzir a eficácia do contraceptivo oral combinado.

Durante o uso concomitante de produtos com etinilestradiol e substâncias que podem diminuir as concentrações séricas de etinilestradiol, recomenda-se que um método anticoncepcional não-hormonal (como preservativos e espermicida) seja utilizado além da ingestão regular de Gestodeno + etinilestradiol (substância ativa). No caso de uso prolongado dessas substâncias, os contraceptivos orais combinados não devem ser considerados os contraceptivos primários.

Após a descontinuação das substâncias que podem diminuir as concentrações séricas de etinilestradiol, recomenda-se o uso de um método anticoncepcional não-hormonal por, no mínimo, 7 dias. Aconselha-se o uso prolongado do método alternativo após a descontinuação das substâncias que resultaram na indução das enzimas microssomais hepáticas, levando a uma diminuição das concentrações séricas de etinilestradiol. Às vezes, pode levar várias semanas até a indução enzimática desaparecer completamente, dependendo da dose, duração do uso e taxa de eliminação da substância indutora.

A seguir, alguns exemplos das substâncias que podem diminuir as concentrações séricas de etinilestradiol

  • Qualquer substância que reduza o tempo do trânsito gastrintestinal e, portanto, a absorção do etinilestradiol.
  • Substâncias indutoras das enzimas microssomais hepáticas, como rifampicina, rifabutina, barbitúricos, primidona, fenilbutazona, fenitoína, dexametasona, griseofulvina, topiramato, alguns inibidores de protease, modafinil.
  • Hypericum perforatum, também conhecido como erva de São João, e ritonavir* (possivelmente por indução das enzimas microssomais hepáticas).
  • Alguns antibióticos (por exemplo, ampicilina e outras penicilinas, tetraciclinas), por diminuição da circulação êntero-hepática de estrogênios.

 A seguir, alguns exemplos de substâncias que podem aumentar as concentrações séricas de etinilestradiol

  • Atorvastatina.
  • Inibidores competitivos de sulfatações na parede gastrintestinal, como o ácido ascórbico (vitamina C) e o paracetamol (acetaminofeno).
  • Substâncias que inibem as isoenzimas 3A4 do citocromo P450, como indinavir, fluconazol e troleandomicina.

A troleandomicina pode aumentar o risco de colestase intra-hepática durante a administração concomitante com contraceptivos orais combinados.

O etinilestradiol pode interferir no metabolismo de outras drogas por inibição das enzimas microssomais hepáticas ou indução da conjugação hepática da droga, sobretudo a glicuronização. Conseqüentemente, as concentrações plasmáticas e teciduais podem aumentar (p. ex., ciclosporina, teofilina, corticosteróides) ou diminuir (p. ex., lamotrigina).

Em pacientes tratados com a flunarizina, relatou-se que o uso de contraceptivos orais aumenta o risco de galactorréia. As bulas dos medicamentos concomitantes devem ser consultadas para identificar possíveis interações.

*Embora o ritonavir seja um inibidor do citocromo P450 3A4, demonstrou-se que esse tratamento diminui as concentrações séricas de etinilestradiol (vide acima).

Interação com exames laboratoriais

O uso de contraceptivos orais combinados pode causar algumas alterações fisiológicas que podem se refletir nos resultados de alguns exames laboratoriais, incluindo:

  • Parâmetros bioquímicos da função hepática (incluindo a diminuição da bilirrubina e da fosfatase alcalina), função tireoidiana (aumento dos níveis totais de T3 e T4 devido ao aumento da TBG [globulina de ligação à tiroxina], diminuição da captação de T3 livre), função adrenal (aumento do cortisol plasmático, aumento da globulina de ligação a cortisol, diminuição do sulfato de deidroepiandrosterona [DHEAS]) e função renal (aumento da creatinina plasmática e clearance de creatinina).
  • Níveis plasmáticos de proteínas (carreadoras), como globulina de ligação a corticosteroide e frações lipídicas/lipoproteicas.
  • Parâmetros do metabolismo de carboidratos;
  • Parâmetros de coagulação e fibrinólise.
  • Diminuição dos níveis séricos de folato.

Ação da Substância

Resultados de Eficácia

Os seguintes benefícios à saúde relacionados ao uso de contraceptivos orais combinados são confirmados pelos estudos epidemiológicos com formulações de contraceptivos orais combinados utilizando amplamente doses maiores que 35g de etinilestradiol ou 50g de mestranol.

Efeitos sobre a menstruação

Melhora da regularidade do ciclo menstrual; diminuição da perda de sangue e da incidência de anemia ferropriva; diminuição da incidência de dismenorreia.

Efeitos relacionados à inibição da ovulação

Diminuição da incidência de cistos ovarianos funcionais; diminuição da incidência de gravidez ectópica.

Outros benefícios não-contraceptivos

Diminuição da incidência de fibroadenomas e de doença fibrocística benigna da mama; diminuição da incidência de doença inflamatória pélvica aguda; diminuição da incidência de câncer endometrial; diminuição da incidência de câncer de ovário; diminuição da gravidade de acne.

Características Farmacológicas

Este medicamento é um contraceptivo oral que combina o componente estrogênico etinilestradiol e o componente progestogênico gestodeno.

Farmacologia Clínica

Os contraceptivos orais combinados agem por supressão das gonadotrofinas. Embora o resultado primário dessa ação seja a inibição da ovulação, outras alterações incluem mudanças no muco cervical (que aumenta a dificuldade de entrada do esperma no útero) e no endométrio (que reduz a probabilidade de implantação).

Quando corretamente e constantemente ingeridos, a taxa provável de falha dos contraceptivos orais combinados é de 0,1% por ano, entretanto, a taxa de falha durante uso típico é de 5% por ano para todos os tipos de contraceptivos orais. A eficácia da maioria dos métodos de contracepção depende da precisão com que eles são usados. A falha do método é mais comum se ocorrer esquecimento da tomada de um ou mais comprimidos do contraceptivo.

Farmacocinética

O gestodeno é rápida e completamente absorvido pelo trato gastrintestinal. Não sofre metabolização de primeira passagem e está quase que completamente biodisponível após administração oral. No plasma, gestodeno liga-se amplamente às globulinas fixadoras dos hormônios sexuais (SHBG). Durante administrações repetidas, um acúmulo de gestodeno pode ser visto no plasma, com a fase de equilíbrio observada durante a segunda metade de um ciclo de tratamento. Entretanto, somente uma pequena fração (< 1%) do gestodeno total está presente na forma livre.

O gestodeno é completamente metabolizado por redução do grupo 3-ceto e da dupla ligação delta-4, e por inúmeras hidroxilações. Nenhum metabólito farmacologicamente ativo do gestodeno é conhecido. Os metabólitos do gestodeno são excretados na urina (50%) e nas fezes (33%) com uma meia-vida de eliminação de aproximadamente um dia.

O etinilestradiol é rápida e completamente absorvido pelo trato gastrintestinal. Sofre intensa metabolização de primeira passagem hepática. A biodisponibilidade média está em torno de 45% com significante variação individual. O etinilestradiol liga-se fortemente a albumina e induz um aumento na concentração plasmática de SHBG. Após repetidas administrações por via oral, a concentração sanguínea de etinilestradiol aumenta em torno de 30-50%, atingindo a fase de equilíbrio durante a segunda metade de cada ciclo de tratamento.

Após administração oral única, os níveis plasmáticos máximos de etinilestradiol são alcançados dentro de 1-2 horas. A curva de disposição mostra duas fases com meias-vidas de 1-3 horas e 10-14 horas aproximadamente.

O etinilestradiol é primariamente metabolizado por hidroxilação aromática, mas uma grande variedade de metabólitos hidroxilados e metilados , são formados, estando presentes como metabólitos livres ou conjugados com glicuronídeos e sulfatos. Os metabólitos de etinilestradiol não são farmacologicamente ativos. O etinilestradiol conjugado é excretado pela bile e sujeito a recirculação êntero-hepática. A meia-vida de eliminação de etinilestradiol é de aproximadamente 10 horas. Cerca de 40% da droga é excretada na urina e 60% eliminada nas fezes.

Cuidados de Armazenamento

O medicamento deve ser mantido em temperatura ambiente (entre 15°C e 30°C). Proteger da umidade.

Número de lote e datas de fabricação e validade: vide embalagem.

Não use medicamento com o prazo de validade vencido. Guarde-o em sua embalagem original.

Características Organolépticas

Comprimido revestido de cor amarelo pálido, sem cheiro (odor) ou gosto característico.

Antes de usar, observe o aspecto do medicamento. Caso ele esteja no prazo de validade e você observe alguma mudança no aspecto, consulte o farmacêutico para saber se poderá utilizá-lo.

Todo medicamento deve ser mantido fora do alcance das crianças.

Dizeres Legais

MS – 1.7056.0055

Farm. Resp.:
Dra. Dirce Eiko Mimura
CRF–SP nº 16532

Fabricado por:
Pfizer Ireland Pharmaceuticals
Newbridge – Irlanda

Embalado por:
Schering do Brasil, Química e Farmacêutica Ltda.
São Paulo – SP

Importado por:
Bayer S.A.
Rua Domingos Jorge, 1.100
04779-900 – Socorro – São Paulo – SP
C.N.P.J. nº 18.459.628/0001-15

Venda sob prescrição médica.

Bayer Anticoncepcional